Предмет: Алгебра,
автор: mrvn0302
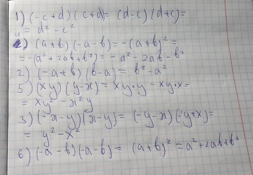
5.37. Представьте выражение в виде многочлена:
1) (-c+d)(c+d);
4) (a+b)(-a-b);
2) (-a+b)(b-a);
5) (xy)(y-x);
3) (-x-y)(x-у); 6) (-a-b)(-a-b).
Ответы
Автор ответа:
29
Ответ:
ответ на ваше задание на фото
Приложения:
amirkabdoshev2:
это правельно ???
должно быть да
спасибо большое за ответ
спс
...
спс
5 дұрыспа
Похожие вопросы
Предмет: Русский язык,
автор: annna1234
Предмет: Английский язык,
автор: НюшаРоссия
Предмет: Математика,
автор: Suzumia
Предмет: Математика,
автор: эля828
Предмет: Математика,
автор: timaaydarkhano