Предмет: Математика, автор: frolliz35

Помогите, пожалуйста!
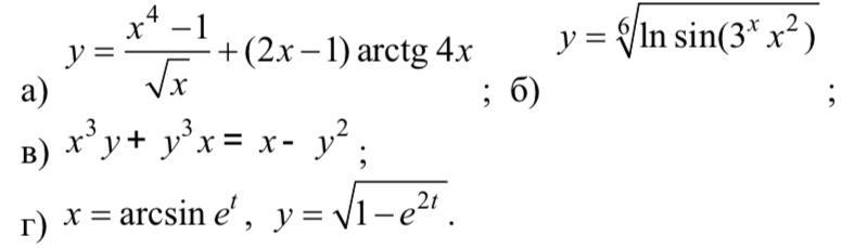
Найти производную dy/dx, если:

Приложения:

Ответы

Автор ответа: Miroslava227
1

Ответ:

а)

y '=  \frac{4 {x}^{3} \times  \sqrt{x}  -  \frac{1}{2 \sqrt{x} }( {x}^{4} - 1)   }{x}  + 2arctg(4x) + (2x - 1) \times  \frac{1}{1 + 16 {x}^{2} }  \times 4 =  \\  = 4 {x}^{2}  \sqrt{x}  -  \frac{ {x}^{4}  - 1}{2x \sqrt{x} }  + 2arctg(4x) +  \frac{4(2x - 1)}{16 {x}^{2} + 1 }

б)

y' =  \frac{1}{6}  {( ln( \sin( {3}^{x} {x}^{2}  ) ) }^{ -  \frac{5}{6} }  \times  \frac{1}{ \sin( {3}^{x}   {x}^{2}  ) }  \cos( {3}^{x} {x}^{2}  )  \times ( ln(3)  \times  {3}^{x}  {x}^{2}  + 2x \times  {3}^{x} ) =  \\  =  \frac{ctg( {3}^{x}  {x}^{2}) }{6 \sqrt[6]{ {ln}^{5} ( \sin( {3}^{x} {x}^{2}  )) } }  \times  {3}^{x} ( ln(3)  {x}^{2}  + 2x)

в)

 {x}^{3} y +  {y}^{3} x = x -  {y}^{2}

3 {x}^{2} y + y'{x}^{3}  + 3 {y}^{2} y'x +  {y}^{3}  = 1 - 2yy' \\ y' {x}^{3}  + 3 {y}^{2} y'x + 2yy' =  - 3 {x}^{2} y -  {y}^{3}  + 1 \\ y'( {x}^{3}  + 3x {y}^{2}  + 2y) = 1 -  {y}^{3}  - 3 {x}^{2} y \\ y' =  \frac{1 -  {y}^{3} - 3 {x}^{2}  y}{ {x}^{3}  + 3x {y}^{2} + 2y }

г)

y'x =  \frac{y't}{x't}  \\

y't =  \frac{1}{2}  \times  \frac{1}{ \sqrt{1 -  {e}^{2t} } }  \times ( - 2 {e}^{2t} ) =   \\  =  -  \frac{ {e}^{2t} }{ \sqrt{1 -  {e}^{2t} } }

x't =  \frac{1}{ \sqrt{1 -  {e}^{2t} } }  \times  {e}^{t}  \\

y'x =  \frac{ -  {e}^{2t} }{ \sqrt{1 -  {e}^{2t} } }  \times  \frac{ \sqrt{1 -  {e}^{2t} } }{ {e}^{t} }  =  \\  =  -  {e}^{t}

Похожие вопросы
Предмет: Математика, автор: fedcofia
Предмет: Математика, автор: AleksZorn