Предмет: Математика,
автор: kotogolisaya
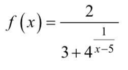
Помогите, пожалуйста. Найти точки разрыва функции и определить их характер:
Приложения:
Ответы
Автор ответа:
0
Пошаговое объяснение:
fx=2/2 я так думаю если не правилно извините
Похожие вопросы
Предмет: Английский язык,
автор: 1978nata6a
Предмет: Математика,
автор: tretjakovaelya
Предмет: Русский язык,
автор: neo222ty
Предмет: Алгебра,
автор: Посейдон56545
Предмет: Математика,
автор: Сан1981