Предмет: Математика,
автор: Аноним
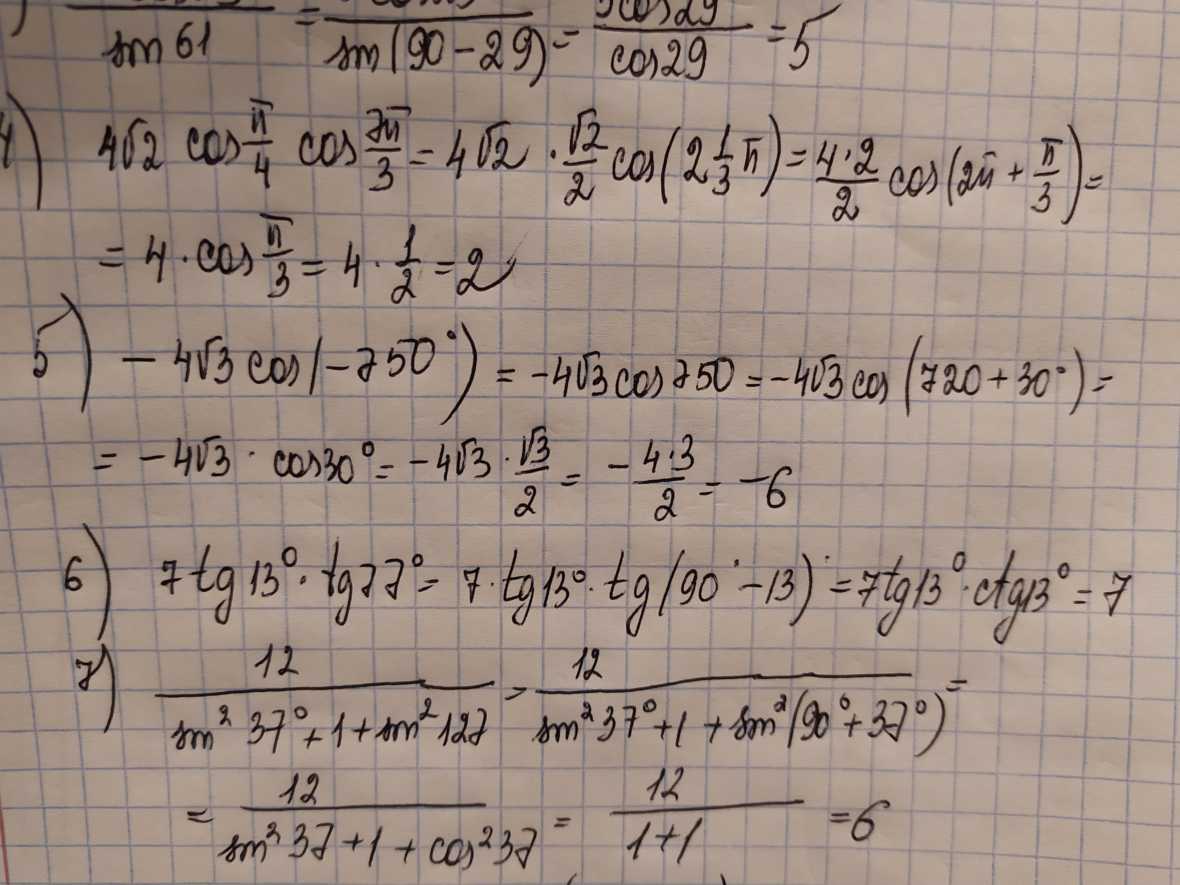
Задание 3. Найдите:
Не только ответ но и решение пожалуйста
решите еще пожалуйста в тетради и просто фотографию прикрепите
Приложения:
Ответы
Автор ответа:
0
Ответ:
Пошаговое объяснение:
Приложения:
Похожие вопросы
Предмет: Математика,
автор: uanastasiya
Предмет: Русский язык,
автор: аделя22
Предмет: Математика,
автор: Ришат111
Предмет: Математика,
автор: Аноним