Предмет: Геометрия,
автор: UnicornIra
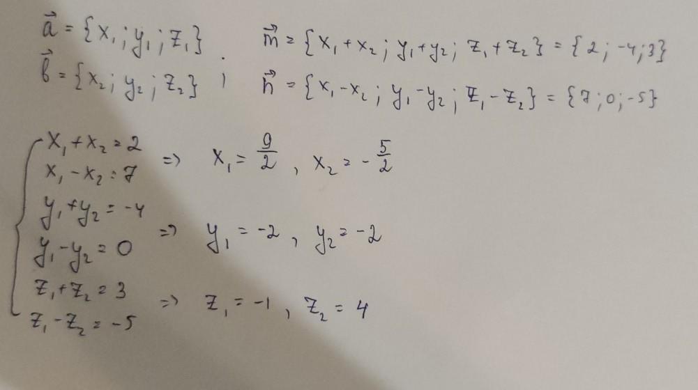
Найдите координаты векторов a и b, если их суммой является вектор m (2, -4, 3) а разницей вектор n (7, 0,-5)
Ответы
Автор ответа:
2
Решение во вложении..........
Приложения:
UnicornIra:
спасибо!
успехов)
Похожие вопросы
Предмет: Английский язык,
автор: Аноним
Предмет: Информатика,
автор: aladyshev99
Предмет: Математика,
автор: 2045438
Предмет: Математика,
автор: vjlkovae92