Предмет: Алгебра, автор: tanzi1968

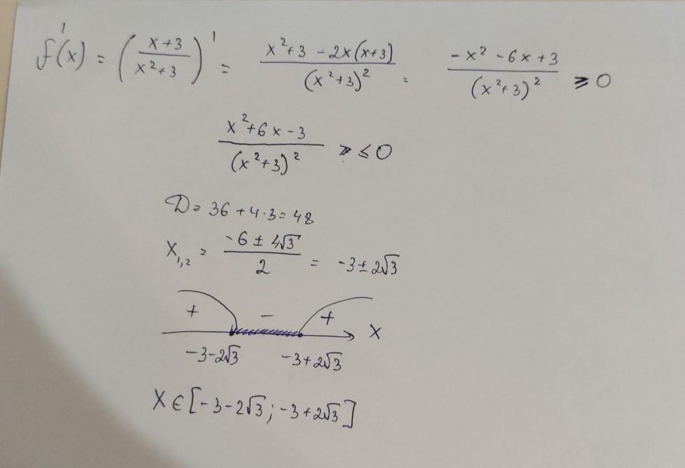
найти значения х при которых значения производной функции f(x)= (х+3) /(х2+3) положительны

Ответы

Автор ответа: vladyandymokk13
1

Решение во вложении...

Приложения:
Похожие вопросы
Предмет: Экономика, автор: maria570
Вариант 3
1. Укажите единственно верный ответ:
«ОТНОСИТЕЛЬНАЯ» ОГРАНИЧЕННОСТЬ РЕСУРСОВ ОБУСЛОВЛЕНА:
а) исчерпаемостью ресурсов,
б) невоспроизводимостью ресурсов,
в) ограничением потребностей,
г) неограниченностью потребностей.
2. Укажите единственно верный ответ:
ТОВАР МОЖНО ОТНЕСТИ К НОРМАЛЬНЫМ, ЕСЛИ:
а) эластичность спроса по доходу равна (- 0,4);
б) прямая эластичность спроса по цене равна 1,2;
в) перекрестная эластичность спроса по цене равна (- 0,7);
г) эластичность спроса по доходу равна 1,5;
д) перекрестная эластичность спроса но цене равна 0,2.
3. Укажите единственно верный ответ:
РАВНОВЕСИЕ ПОТРЕБИТЕЛЯ ПРЕДПОЛАГАЕТ, ЧТО:
а) потребитель расходует весь свой доход и при этом максимизирует полезность приобретаемых им благ;
б) потребитель максимизирует полезность приобретаемых им благ, расходуя при этом минимальную часть своего дохода;
в) получая данную фиксированную величину дохода и приобретая на него определенное количество благ, потребитель не стремится изменить своего положения;
г) потребитель уравновешивает полезность от потребляемых благ и полезность денег, составляющих его доход.
4.Укажите единственно верный ответ:
УСЛОВИЯ СОВЕРШЕННОЙ КОНКУРЕНЦИИ ВЫПОЛНЯЮТСЯ НА РЫНКЕ В ТОМ СЛУЧАЕ, КОГДА:
а) фирмы не получают экономической прибыли;
б) отраслевые барьеры не препятствуют проникновению на рынок новых фирм;
в) потребители обладают неполной информацией о рынке;
г) фирмы не оказывают влияния на рыночную цену;
д) все перечисленное верно.
5. Укажите единственно верный ответ:
ПОВТОРНЫЙ СЧЕТ ПРИ ОПРЕДЕЛЕНИИ ВВП И ЧВП ВОЗНИКАЕТ ПРИ СЛОЖЕНИИ:
а) чистой добавленной стоимости, созданной в добывающей и сталелитейной промышленности;
б) прироста запасов в мукомольной и в пекарной промышленности;
в) производства руды и чугуна;
г) верно а и б

6. Укажите единственно верный ответ:
ИНВЕСТИЦИИ — ЭТО:
а) часть дохода, не израсходованная в текущем периоде;
б) вложения во все виды производственных и непроизводственных ресурсов;
в) приобретение недвижимости;
г) приобретение товаров длительного пользования, а также валюты и золота.
7. Укажите единственно верный ответ:
ЭКОНОМИЧЕСКИЙ ЦИКЛ:
а) характеризуется изменением большинства макроэкономических показателей;
б) затрагивает все отрасли экономики;
в) представляет собой отклонения фактического ВВП от потенциального;
г) отражает поведение экономики в краткосрочном периоде;
д) все ответы верны.
8. Укажите единственно верный ответ:
ЕСЛИ НОМИНАЛЬНЫЙ ДОХОД ПОВЫСИЛСЯ НА 20%, А УРОВЕНЬ ЦЕН ВЫРОС НА 10%, ТО РЕАЛЬНЫЙ ДОХОД:
а) увеличился на 20%;
б) увеличился на 10%;
в) снизился на 9%;
г) снизился на 10%;
д) увеличился на 9%.
9. Решите задачу:
Используя данные из таблицы, вычислите максимальные значения предельного – (а) и среднего – (б) продуктов:
Количество работающих
Общий объем производства
Предельный продукт
Средний продукт

1
15

3
51

4
65

5
74

6
80

8
82

10. Решите задачу:
Если экономика находилась на уровне потенциального ВВП, равного 3000 млрд. дол., и правительство увеличило государственные закупки на 20 млрд. дол., то, для того чтобы объем выпуска не изменился, при предельной склонности к потреблению, равной 0,8, как должна быть изменена величина аккордных налогов?