Предмет: Математика,
автор: Miserablel
ПЖ ПЖ ПОМОГИТЕ!
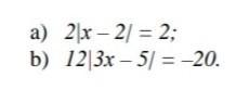
Решите уравнение!
Приложения:
Ответы
Автор ответа:
0
Ответ:
Пошаговое объяснение:
это же модули?
Приложения:
Автор ответа:
0
Ответ:
задание (в) не имеет решения
Приложения:
Похожие вопросы
Предмет: Русский язык,
автор: iminovazmadina
Предмет: Русский язык,
автор: mmw30
Предмет: Математика,
автор: Eeoneliy
Предмет: Химия,
автор: lexxbedinskaya
Предмет: Химия,
автор: daniil362