Предмет: Физика,
автор: mariamka4100
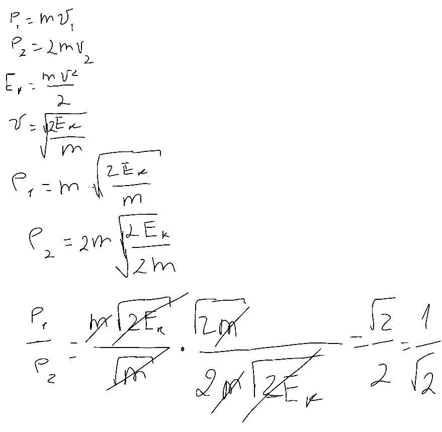
кинетические энергии шариков равны. вычислите отношения р1/р2 их импульсов
помогите решить, пожалуйста
Приложения:
Ответы
Автор ответа:
2
Кривовато конечно, но надеюсь поймёшь
Ответ: D
Приложения:
mariamka4100:
спасибо!
Похожие вопросы
Предмет: Математика,
автор: leda2004
Предмет: Математика,
автор: лиза2220802
Предмет: Русский язык,
автор: Бейбис
Предмет: Математика,
автор: lain5
Предмет: Литература,
автор: Аноним