Предмет: Математика,
автор: mikaragimov
помогите пожалуйста решить
Приложения:
Ответы
Автор ответа:
0
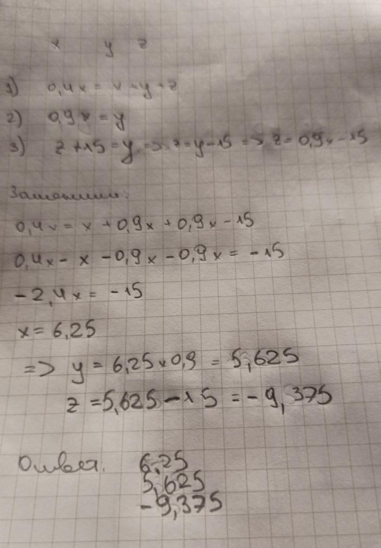
Ответ:
ответ на задачу в приложении
6.25
5.625
-9.375
Приложения:
Похожие вопросы
Предмет: Українська мова,
автор: nataly20051
Предмет: Биология,
автор: hemfufdu2001
Предмет: Алгебра,
автор: F1Den1
Предмет: Физика,
автор: egorsteam1234
Предмет: Биология,
автор: ВоваЛавилаз