Предмет: Математика,
автор: natashaakachuk
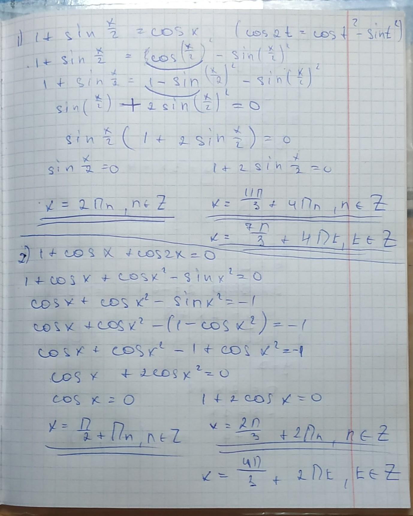
Решите уравнения:
1. 1 + sin(x/2)=cos(x)
2.1 + c0s(x) + cox(2x) = 0
Ответы
Автор ответа:
1
вот это , извиняюсь за качество
Приложения:
Похожие вопросы
Предмет: Математика,
автор: anastasia251105
Предмет: Биология,
автор: vhdryg
Предмет: Русский язык,
автор: lera20041902
Предмет: История,
автор: KarlDonits