Предмет: Математика,
автор: katyli902
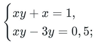
даю 15 баллов. Решить систему уравнений способом сложения. Подробное решение
Приложения:
ВикаБач:
от 1 отнять 2, получится х+3у=0,5; х=0,5-3у; Теперь это подставь, например, в 1, получится квадратное уравнение.
стоп, а разве можно просто отнять? Я думала что можно только складывать
Можно и складывать и вычитать. Это называется алгебраическое сложение.
спасибо
Ответы
Автор ответа:
1
Ответ:
Пошаговое объяснение:
Решение дано на фото.
Приложения:
Похожие вопросы
Предмет: Русский язык,
автор: rafik0712200
Предмет: История,
автор: 2001кр
Предмет: Химия,
автор: Peppe
Предмет: Математика,
автор: irinakna
Предмет: Математика,
автор: myhabk