Предмет: Алгебра,
автор: ashanova81
СРОЧНО,ПОМОГИТЕ,ПОЖАЛУЙСТА .НУЖНО СВЕРИТЬ ОТВЕТ
мне ккажется я неправильно вообще решила,поэтому помогите решить и заодно ответ сверю,заранее благодарю
Приложения:
Ответы
Автор ответа:
1
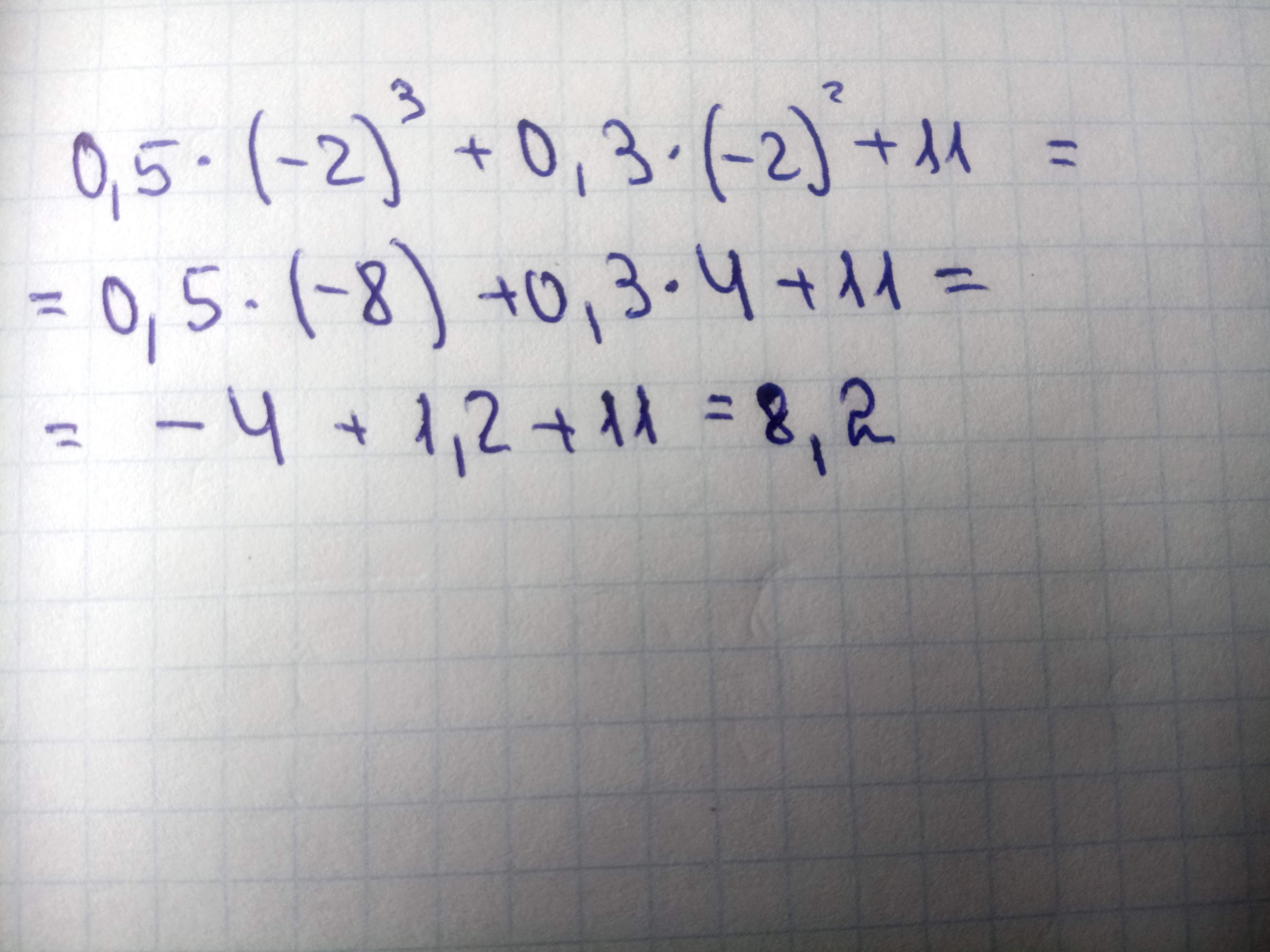
Решение задания прилагаю
Приложения:
ashanova81:
еще раз спасибо!
Автор ответа:
2
Ответ:
вот решение на фотографии
Приложения:
Похожие вопросы
Предмет: Русский язык,
автор: Аноним
Предмет: Русский язык,
автор: dodonovaalena
Предмет: Математика,
автор: olgarudnickaya
Предмет: География,
автор: lolka12344
Предмет: Математика,
автор: АлискаДанилова