Предмет: Математика,
автор: alenkarururu
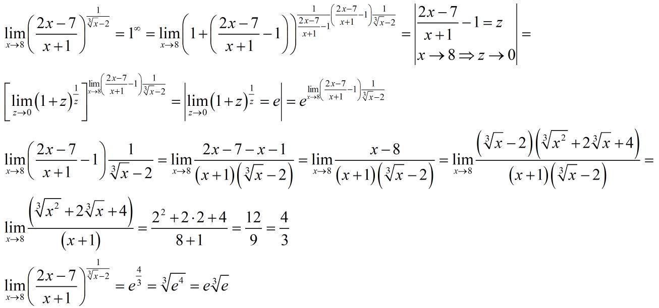
Найти предел,не пользуясь правилом Лопиталя, пожалуйста помогите
Приложения:
braincracker:
ну тут понятно что через второй замечательный предел надо, я решил но каким-то хреновым методом, такой скорее всего непримут)
Ответы
Автор ответа:
1
Ответ:
Пошаговое объяснение:
../////////////////////////////
Приложения:
Похожие вопросы
Предмет: Математика,
автор: KetRin2003lol
Предмет: Математика,
автор: tuchenkov
Предмет: Математика,
автор: eadorenskaia
Предмет: Математика,
автор: Лерочка1232