Предмет: Математика,
автор: danizgalamov2009
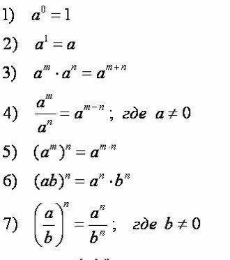
Объясните степень.
Пожалуйста, на уроке ничего не понял.
Математика
Ответы
Автор ответа:
1
Ответ:
это я примером объяснять.буду
типов вот 2 в степени 2
это надо 2 ×2
или 3 в степени 4
то будет 3×3×3×3
Как-то так
danizgalamov2009:
Спасибо, вы просто спаситель
Автор ответа:
0
Ответ:
Підне́сення до сте́пеня — бінарна операція, записується як для основи степеня та показника степеня в результаті застосування отримується степінь. Якщо n — натуральне число, піднесення до степеня відповідає n-кратному множенню: Подібно до того, як множення на ціле число відповідає багатократному додаванню
Приложения:
Похожие вопросы
Предмет: Русский язык,
автор: revolier2801
Предмет: Математика,
автор: trololoshka4958
Предмет: Русский язык,
автор: Vanya12233i
Предмет: Математика,
автор: состин
Предмет: Химия,
автор: 1264445