Предмет: Алгебра,
автор: rasulserikuly
ДАЮ 50 БАЛЛОВ
ЗА ЛУЧШИЙ ОТВЕТ 25%
Вот от меня задача ;)
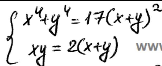
Задача: найдите Х и У
Решите с объяснениями!!!
Учтите я — Спамаут :/
Если ответите не правильно то получите БАН :)⚠️
Приложения:
Ответы
Автор ответа:
7
----------------------------
Приложения:
Похожие вопросы
Предмет: Русский язык,
автор: vas52
Предмет: Математика,
автор: Janekler
Предмет: Обществознание,
автор: ponamorev1991
Предмет: Геометрия,
автор: ava14
Предмет: Математика,
автор: Dumb4zz1