Предмет: Математика,
автор: Аноним
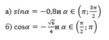
Задание 1. Найдите значения других трех основных тригонометрических функций, если:
Не только ответ но и решение пожалуйста
Приложения:
Ответы
Автор ответа:
1
Ответ:Ого
Пошаговое объяснение:акцент чуствуется
Приложения:
Похожие вопросы
Предмет: Другие предметы,
автор: anna2004celouso
Предмет: Другие предметы,
автор: dobrin
Предмет: Другие предметы,
автор: 48fCopaX
Предмет: Математика,
автор: Асмя