Предмет: Математика,
автор: vdfx
Уровень А: Вначале нужно штрих от икс найти, после находим от того числа
который в скобках находится.
Приложения:
Ответы
Автор ответа:
1
Пошаговое объяснение:
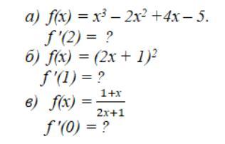
а)
f'(x) = 3x² - 4x + 4
f'(2) = 12 - 8 + 4 = 8
б)
f'(x) = 2(2x + 1)(2x + 1)' = 4(2x + 1) = 8x + 4
f'(1) = 12
в)
f'(x) = ((1 + x)'(2x + 1) - (1 + x)(2x + 1)') ÷ (2x + 1)² = (2x + 1 - 2 - 2x) ÷ (2x + 1)² = -1/(2x + 1)²
f'(0) = -1
Похожие вопросы
Предмет: Математика,
автор: 123456789re
Предмет: Українська мова,
автор: galamurka14
Предмет: Математика,
автор: 2004tah
Предмет: Литература,
автор: NanaMitta1