Предмет: Алгебра,
автор: kaaaaattya
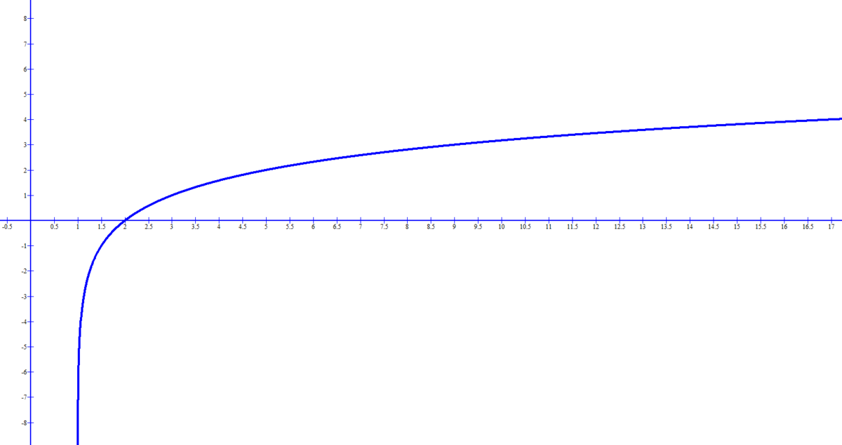
y=log2(x-1) построить график;)
Ответы
Автор ответа:
0
график смотрите ниже ==========
Приложения:
Похожие вопросы
Предмет: Математика,
автор: MarkMedwed12321
Предмет: Русский язык,
автор: flowlolipop98
Предмет: Немецкий язык,
автор: muminovai62
Предмет: Математика,
автор: VikaMironova00
Предмет: Литература,
автор: zenit78