Предмет: Математика,
автор: atalykovaaaa
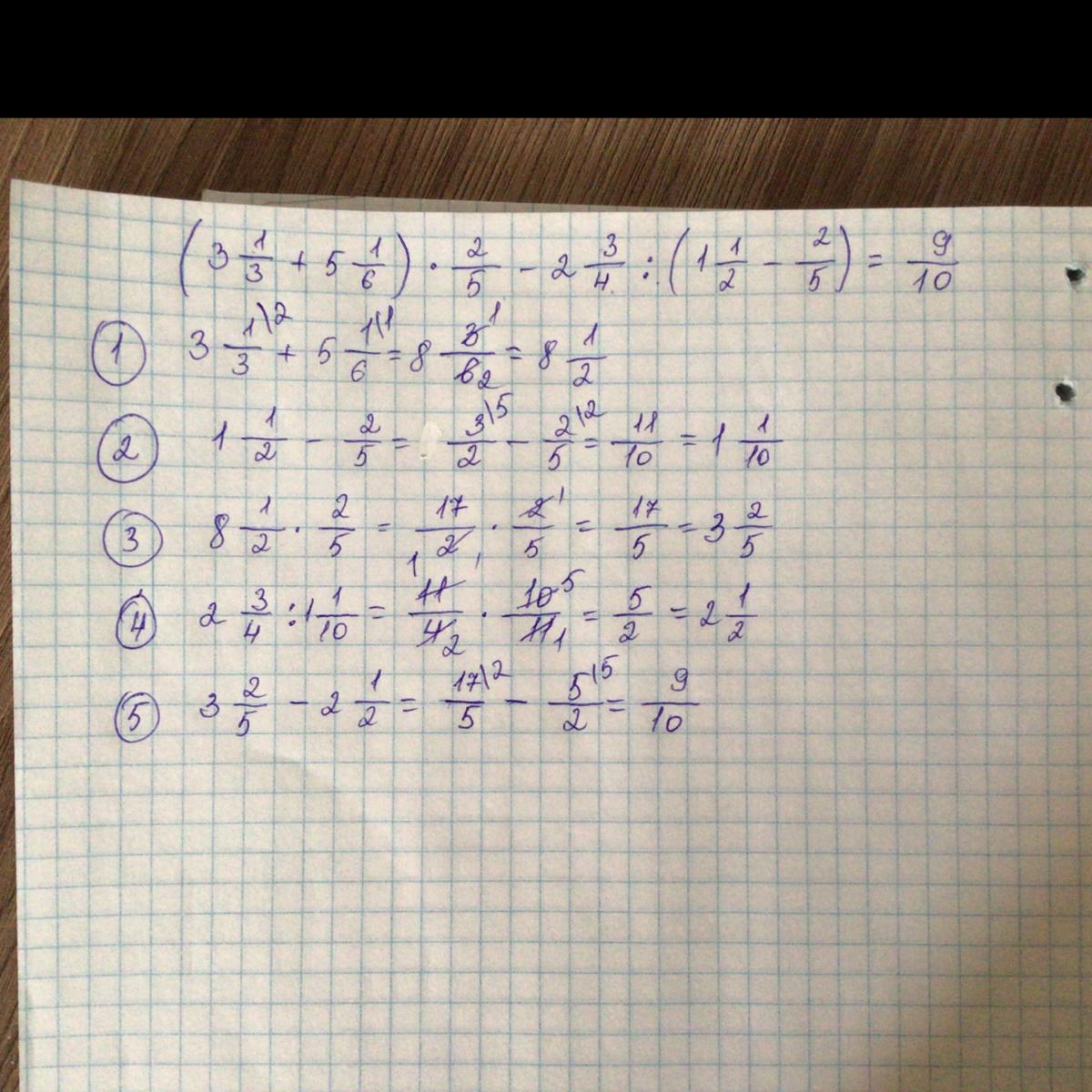
Вычислите: (3⅓+5⅙)×⅖-2¾÷(1½-⅖)
Пж помогите срочно надо
Ответы
Автор ответа:
1
Вот ответ............
Приложения:
atalykovaaaa:
Огромное вам спасибо !!!
По позже сделаю лучшим ответом
Не за что, спасибо
Похожие вопросы
Предмет: Математика,
автор: orion0580
Предмет: Русский язык,
автор: 1302alya
Предмет: Математика,
автор: Здрав19942004
Предмет: История,
автор: Аноним
Предмет: Алгебра,
автор: CoBRaAndre