Предмет: Математика,
автор: lomot1990
Срочно!!!!!!!!!!!!!!!!!!!!!
Приложения:
Ответы
Автор ответа:
1
Ответ:
Пошаговое объяснение:
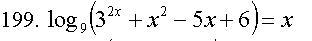
log₉(3²ˣ +x²-5x+6)=x
по определению логарифма logₐb=c это
9ˣ = (3²)ˣ +x²-5x +6 ⇒ x²-5x +6 ⇒ x₁ = 2; x₂ = 3
Похожие вопросы
Предмет: Математика,
автор: leradark
Предмет: Русский язык,
автор: kozlovadarya2
Предмет: Математика,
автор: свет0лана
Предмет: Химия,
автор: danilova14