Предмет: Математика,
автор: toma613
помогите с математикой
логарифм числа
Приложения:
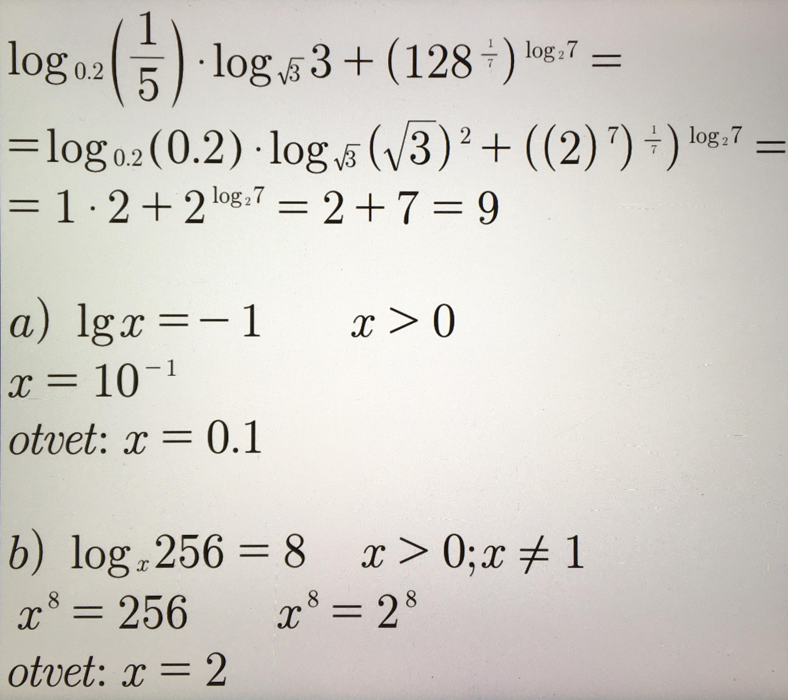
Simba2017:
2а)x=10^(-1)=0.1
б)x^8=256; x=2
и всё? а где решения и другая фигня
понятно все с вами........
спасибо большое ♡♡♡
Ответы
Автор ответа:
1
Ответ:
Пошаговое объяснение:
Если правильно поняла условие первого задания..
Приложения:
Похожие вопросы
Предмет: Математика,
автор: накараго
Предмет: Геометрия,
автор: anyuta55
Предмет: Английский язык,
автор: sashaLoJ
Предмет: Алгебра,
автор: Аноним