Предмет: Химия,
автор: Аноним
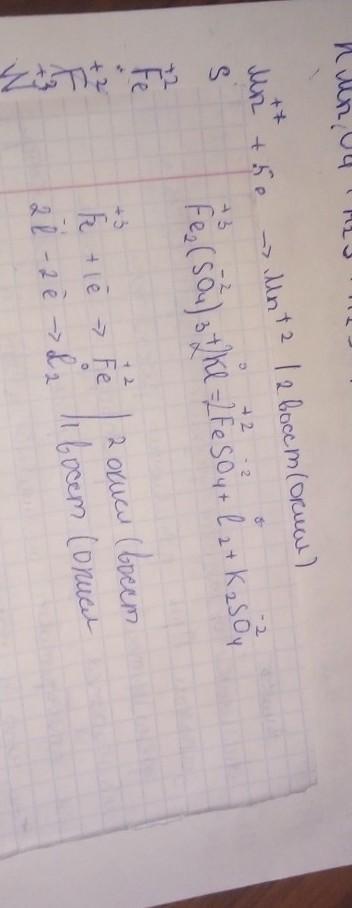
Fe2(SO4)3+KI=FeSO4+I2+K2SO4
используя метод электронного баланса, составьте уравнение реакции по схеме: Определите окислитель и восстановитель.
дам 10 или 20 баллов
срочно пожалуйста
Ответы
Автор ответа:
1
на фото....................
Приложения:
Похожие вопросы
Предмет: Математика,
автор: misha19905misha
Предмет: Алгебра,
автор: klimenkol21
Предмет: Русский язык,
автор: Аноним
Предмет: География,
автор: киса711
Предмет: Математика,
автор: RSL1