Предмет: Математика,
автор: batrambetovd
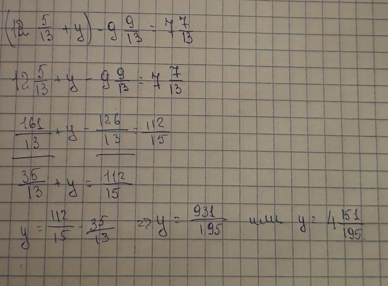
Решить уравнение
(12 5/13+у)-9 9/13=7 7/13
Ответы
Автор ответа:
1
Ответ:
вот списывай думаю верно )))))
Приложения:
Похожие вопросы
Предмет: Русский язык,
автор: PolinaBalaeva03
Предмет: Математика,
автор: pasha007780pk
Предмет: Алгебра,
автор: leraol
Предмет: Математика,
автор: mikhail27
Предмет: Математика,
автор: Hedgehog243