Предмет: Математика,
автор: maxorrblog
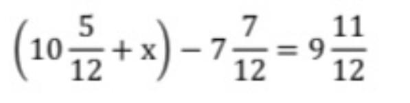
решите пожалуйста срочноооо
Приложения:
Ответы
Автор ответа:
0
Пошаговое объяснение:
есть приложение, photomath, очень удобно если у тебя все плохо с алгеброй
Приложения:
Похожие вопросы
Предмет: Русский язык,
автор: ponochevnaya1984m
Предмет: Алгебра,
автор: nikitans461
Предмет: Английский язык,
автор: tanyaChaysova
Предмет: Математика,
автор: lolka1227
Предмет: Математика,
автор: суперум13