Предмет: Математика,
автор: igembaevafatima
Плиз решите задачку
Приложения:
Ответы
Автор ответа:
0
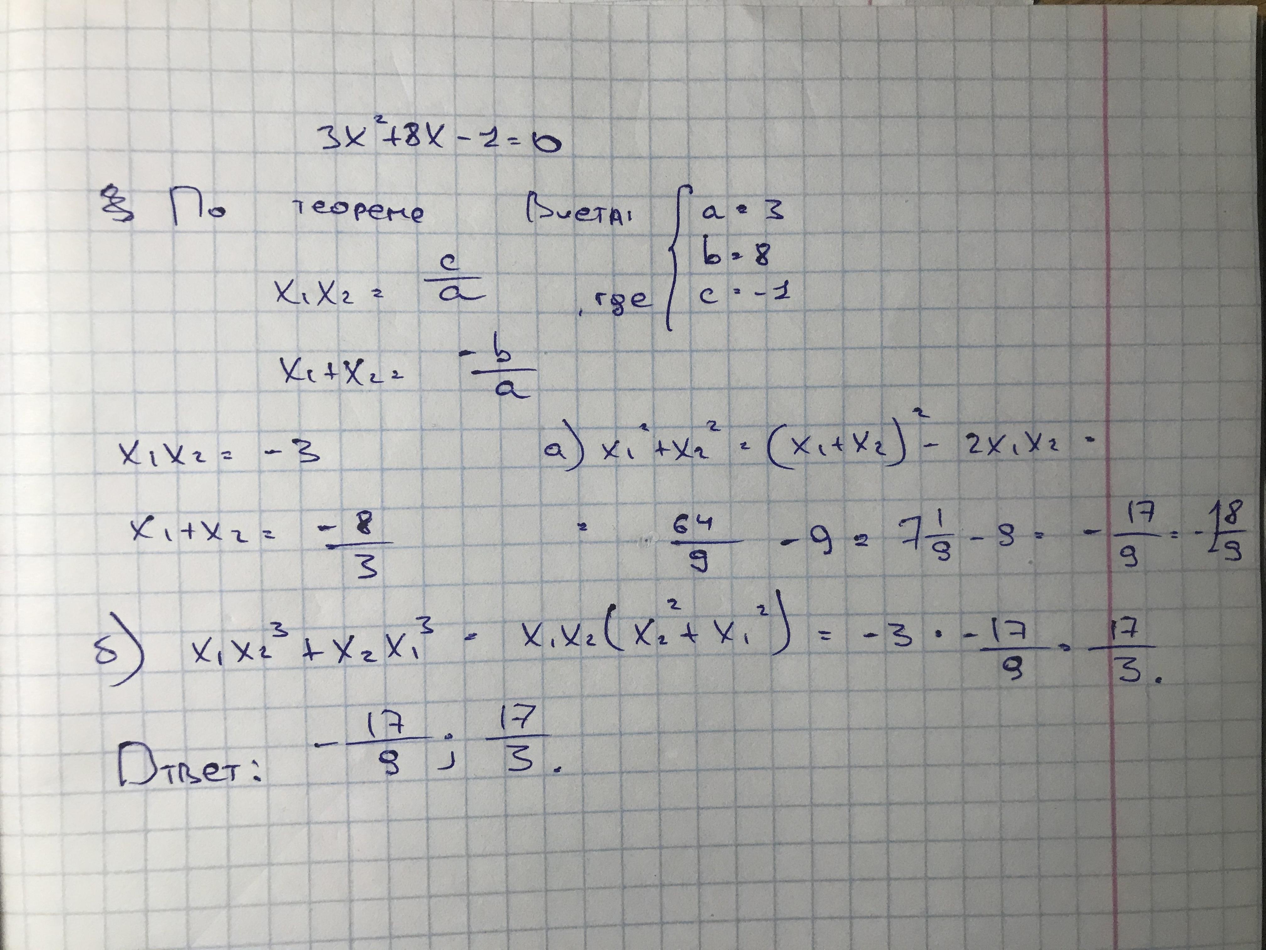
Ответ:
Решение во вложении
Пошаговое объяснение:
Приложения:
Похожие вопросы
Предмет: Математика,
автор: alenkaalya
Предмет: Другие предметы,
автор: Романычевский
Предмет: Алгебра,
автор: юляша144
Предмет: Геометрия,
автор: vladshkolnikpervii
Предмет: Биология,
автор: 228Ponik228