Предмет: Алгебра,
автор: maxs4662
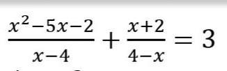
помогите Решите уравнение
Приложения:
Ответы
Автор ответа:
0
----------------------------
Приложения:
Похожие вопросы
Предмет: Русский язык,
автор: suluu82
Предмет: Физика,
автор: chvhh
Предмет: Русский язык,
автор: dimonchick83
Предмет: Геометрия,
автор: ТепикинаКатя
Предмет: Музыка,
автор: Sasha031208