Предмет: Математика,
автор: Bota1365
629 Упражнение) Даю 52 баллов! Должно быть решение! И фото !
Приложения:
utalio295:
изи
зачем говорить что 52 балла даешь если это не так
клоун
Ответы
Автор ответа:
0
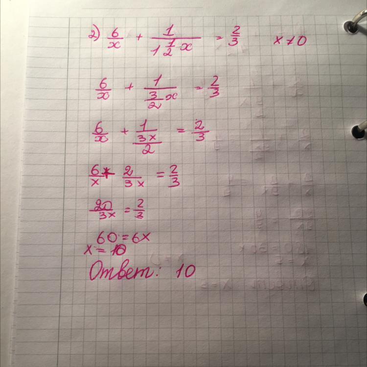
Решение в прикрепленном фото....
Приложения:
спасибо :)
2)х=5. 3)х=10
Похожие вопросы
Предмет: Русский язык,
автор: Настёнка1234512345
Предмет: Другие предметы,
автор: savenkovaalina
Предмет: Математика,
автор: ирка27
Предмет: Алгебра,
автор: stypid15
Предмет: Химия,
автор: kolyashin10