Предмет: Алгебра,
автор: zaurhanb
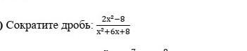
Сократите дробь: СРОЧНО ПОЖАЛУЙСТА!
Приложения:
Ответы
Автор ответа:
0
Ответ:
Объяснение:
...................
Приложения:
zaurhanb:
Можно пожалуйста полный ответ и решение?!
Списывайте своё условие а потом моё решение, оно полное
Автор ответа:
0
Ответ:
Верх : 2(х-4)
Низ: (х+2)(х+4)
МОЖНО ПОЖАЛУЙСТА ПОЛНЫЙ ОТВЕТ И РЕШЕНИЕ?!
Похожие вопросы
Предмет: История,
автор: bridgetbordo
Предмет: Русский язык,
автор: vipverohka198
Предмет: Математика,
автор: alisaevchenko
Предмет: Биология,
автор: NaLi11
Предмет: Математика,
автор: maryterest