Предмет: Математика,
автор: Аноним
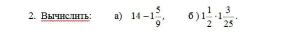
помогите пожалуйста помогите пожалуйста помогите пожалуйста
Приложения:
Ответы
Автор ответа:
1
Ответ:
Надеюсь успела с решением
Приложения:
islamovaalsusha:
не правильно
Автор ответа:
1
Ответ:
а) 14-1 5/9=14/1-14/9=НОД-9=9/9-1/9=8/9
б) 1 1/2*1 3/25=3/2*28/25=3/2*14/25=42/50
Похожие вопросы
Предмет: Алгебра,
автор: valyadeeva201
Предмет: Химия,
автор: dogfeed
Предмет: Математика,
автор: kraskigo
Предмет: Математика,
автор: Aidanly