Предмет: Алгебра, автор: Аноним

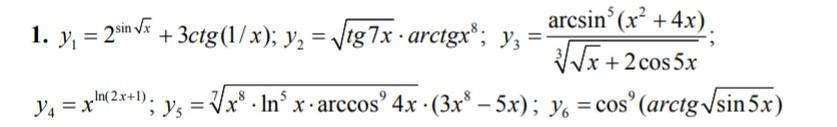
найти производную одной из функций​

Приложения:

Ответы

Автор ответа: Miroslava227
1

Ответ:

y1 =  {2}^{ \sin( \sqrt{x} ) }  + 3ctg( \frac{1}{x} )

y' =  ln(2)  \times  {2}^{ \sin( \sqrt{x} ) }  \times  \cos( \sqrt{x} ) \times \frac{1}{2 \sqrt{x} }  -  \frac{3}{ { \sin }^{2} ( \frac{1}{x} )}  \times ( -  {x}^{ - 2} ) =  \\  =  \frac{ ln(2)  \times  {2}^{ \sin( \sqrt{x} ) }  \cos( \sqrt{x} ) }{2 \sqrt{x} }  +  \frac{3}{ {x}^{2} { \sin}^{2}( \frac{1}{x} )  }

Похожие вопросы
Предмет: Математика, автор: Инсаф1999
Предмет: Қазақ тiлi, автор: loa444
Предмет: Химия, автор: Martin454