Предмет: Математика,
автор: DeadNorth
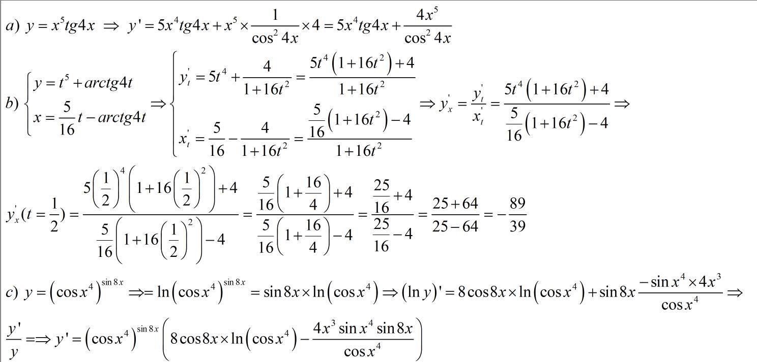
Найти производную, подробно, даю 100 баллов
Приложения:
Ответы
Автор ответа:
1
Ответ:
Пошаговое объяснение:
//////// //////////////////////////
Приложения:
Похожие вопросы
Предмет: Алгебра,
автор: Клерапатра
Предмет: Биология,
автор: Аноним
Предмет: Другие предметы,
автор: Аноним
Предмет: Биология,
автор: Hotic