Предмет: Алгебра,
автор: YukiToxic
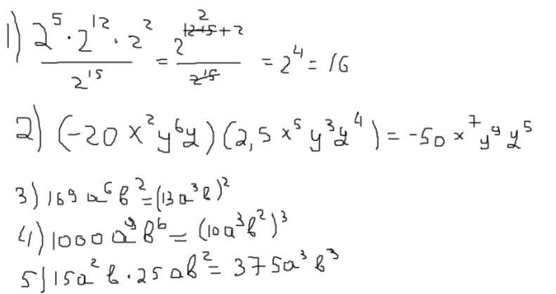
Решите пожайлутса, 56 баллов.
Приложения:
Ответы
Автор ответа:
2
Слишком коротко. Напишите минимум 20 символов, чтобы объяснить все.
Ответ не может быть пустым
Приложения:
Похожие вопросы
Предмет: Математика,
автор: Asha543
Предмет: Математика,
автор: yanakokozeeva
Предмет: Геометрия,
автор: Амелия15
Предмет: Математика,
автор: Аноним
Предмет: Геометрия,
автор: nastriopha2