Предмет: Математика,
автор: arinkaarinka71
Срочноооо решите кому не сложно
Приложения:
arinkaarinka71:
Спасибо большое заранее))))))))
Ответы
Автор ответа:
1
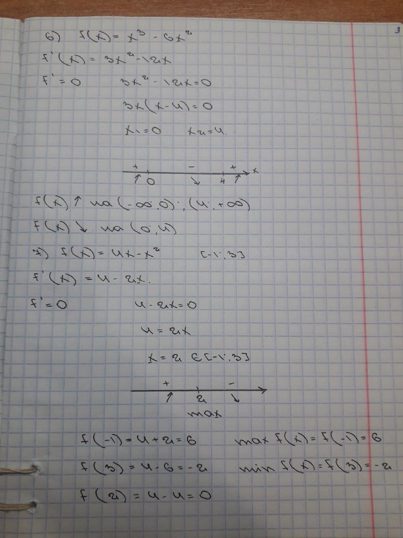
Ответ:
Пошаговое объяснение:
Приложения:
Похожие вопросы
Предмет: История,
автор: leyto107
Предмет: Литература,
автор: golybevalubov
Предмет: Химия,
автор: Малина1508
Предмет: Алгебра,
автор: Ali904
Предмет: Математика,
автор: kasimovrasul02