Предмет: Математика,
автор: mazuta63
СРОЧНО
С ПОДРОБНЫМ РЕШЕНИЕМ ПОЖАЛУЙСТА
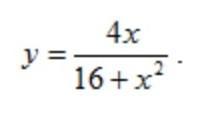
Исследуйте данную функцию методами дифференциального исчисления и постройте ее график.
Приложения:
Ответы
Автор ответа:
1
Ответ:
============================================
Пошаговое объяснение:
Приложения:
Похожие вопросы
Предмет: Математика,
автор: Аноним
Предмет: Алгебра,
автор: lalaKeosiyants
Предмет: Химия,
автор: adelina1998yes
Предмет: Геометрия,
автор: kbodyakshin7
Предмет: Литература,
автор: kirill3382