Предмет: Алгебра,
автор: alenamaslennikova200
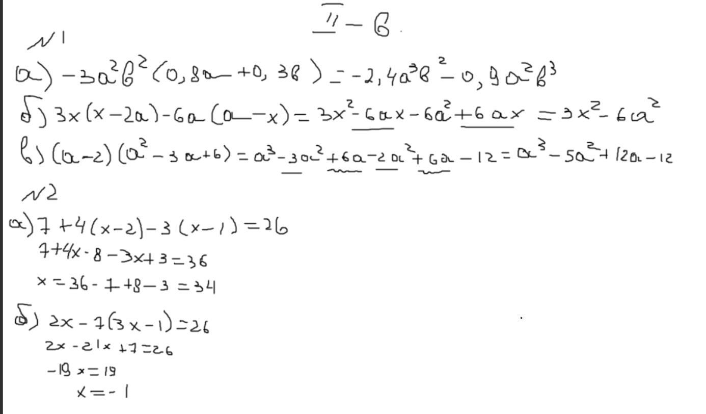
срочно даю 60б представьте в виде многочлена 2 варианта зделать
Приложения:
alenamaslennikova200:
подробно пожалуйста
Ответы
Автор ответа:
1
НА ПЕРВОМ СКРИНЕ ПЕРВЫЙ ВАРИАНТ.
Приложения:
Похожие вопросы
Предмет: Геометрия,
автор: zonda368
Предмет: Литература,
автор: pomosh35
Предмет: Русский язык,
автор: gagikmushkambaryan
Предмет: Алгебра,
автор: Smitii
Предмет: Математика,
автор: kekonu