Предмет: Математика,
автор: Аноним
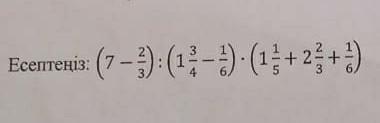
комек помогите тжб пжжж
Приложения:
Ответы
Автор ответа:
3
Ответ:
Пошаговое объяснение:
20это верно он не врет я проверил
Похожие вопросы
Предмет: Физика,
автор: Яна508
Предмет: Русский язык,
автор: sidelniko
Предмет: Математика,
автор: lazarenkodanil
Предмет: Информатика,
автор: elvin123451
Предмет: Геометрия,
автор: nastriopha1