Предмет: Математика,
автор: Аноним
помогите..............................
Приложения:
Ответы
Автор ответа:
1
Ответ:
Пошаговое объяснение:
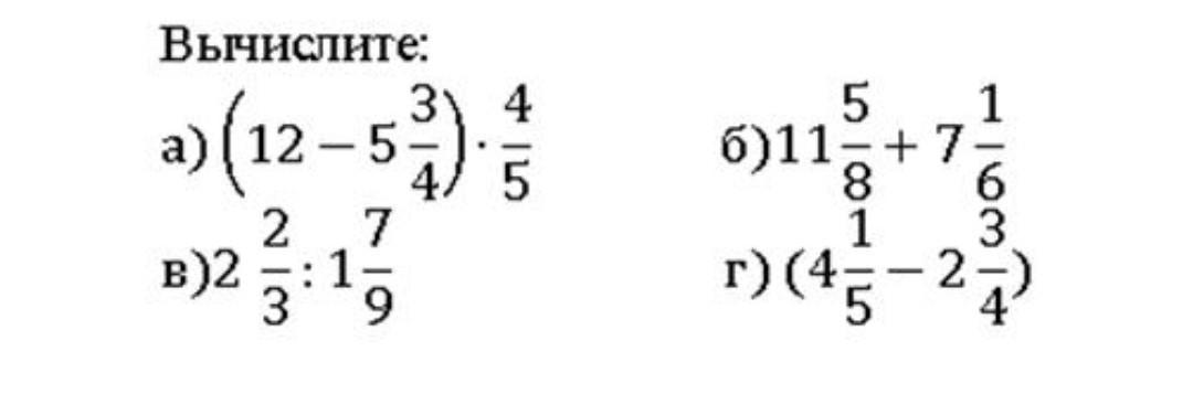
а) ( 12-5 3/4)*4/5= 6 1/4*4/5=25/4*4/5=5
б) 11 5/8+7 1/6= 93/8+43/6=(279+172)/24= 451/24= 18 19/24
в) 2 2/3: 1 7/9= 8/3*9/16= 3/2=1 1/2
г) 4 1/5 - 2 3/4=21/5-11/4= (84-55)/20=29/20= 1 9/20
Похожие вопросы
Предмет: Математика,
автор: флаторшай
Предмет: Русский язык,
автор: detka69913
Предмет: Другие предметы,
автор: alexanton2003
Предмет: Литература,
автор: Софияkat
Предмет: Математика,
автор: тчтчовоылчо