Предмет: Математика,
автор: Аноним
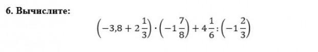
Помогите пожалуйста очень надо
подробное решение нужно желательно на листочке
Приложения:
Ответы
Автор ответа:
1
Ответ:
(попыталась максимально расписать все действия и написала на листочке!! надеюсь, смогла помочь)
Приложения:
Аноним:
Спасибо!!!!
Похожие вопросы
Предмет: Математика,
автор: dzhumaeva04
Предмет: Геометрия,
автор: etoneyaesli4too
Предмет: Математика,
автор: dazador11
Предмет: Математика,
автор: valievadilara37
Предмет: Математика,
автор: 123НЛО