Предмет: Математика,
автор: Darialala
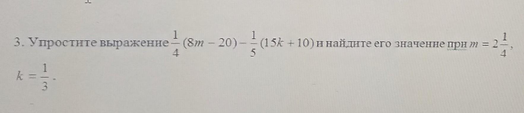
срочно пожалуйста!!! номер 3
Приложения:
Ответы
Автор ответа:
0
0.25(8m - 20) - 0.2(15k + 10) = 2m - 5 - 3k - 2 = 2m - 3k - 7
При m = 2,25; k = 1/3, 2 × 2,25 - 3 × 1/3 - 7 = 4,5 - 1 - 7 = -3,5
Похожие вопросы
Предмет: Математика,
автор: Dikobraz228
Предмет: Математика,
автор: qweasdzx12309
Предмет: Русский язык,
автор: tonprokopenko
Предмет: Геометрия,
автор: nikita1276