Предмет: Алгебра,
автор: swetlanaprya
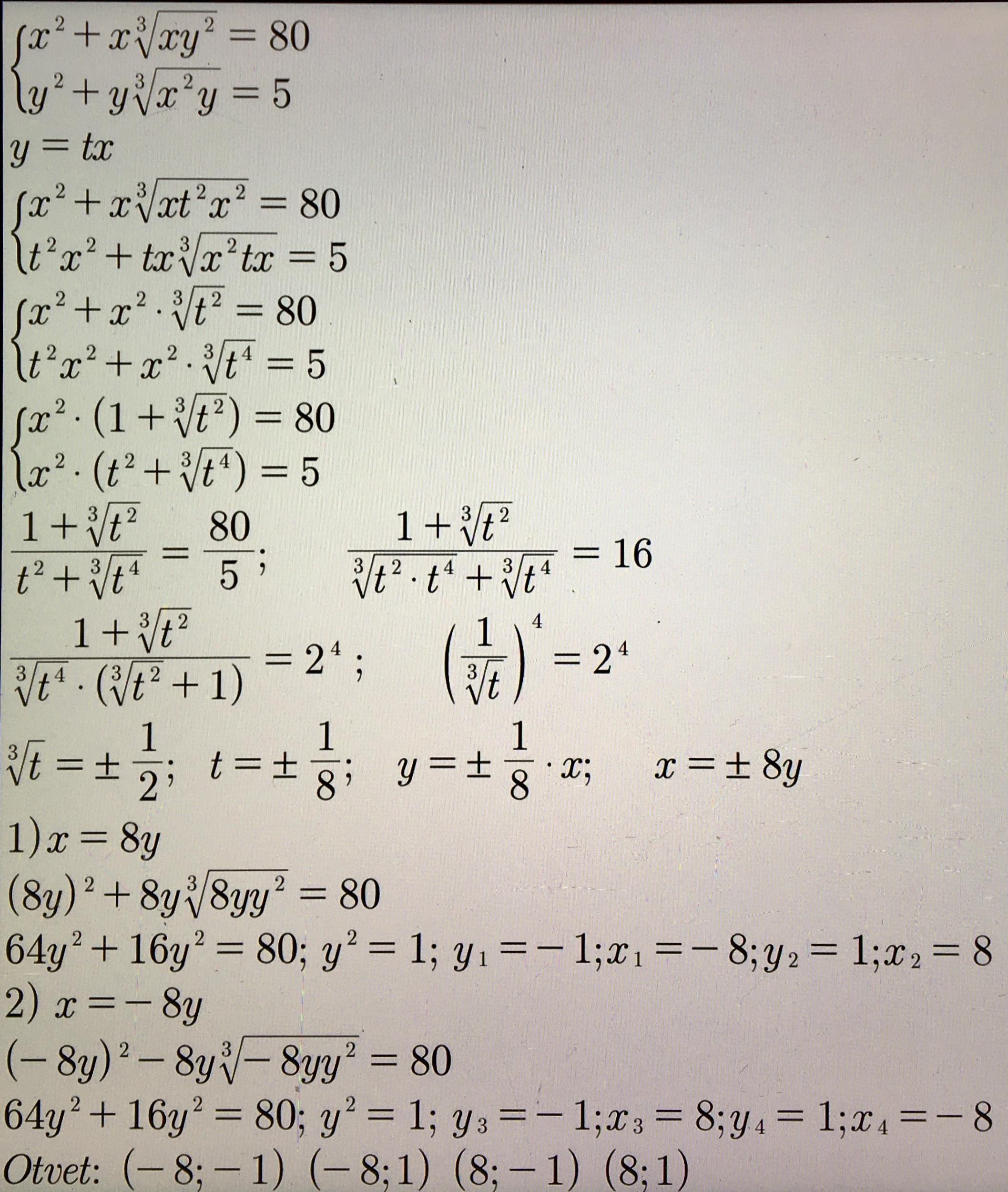
Помогите решить систему уравнений
Номер 713
Приложения:
Ответы
Автор ответа:
1
Ответ:
Объяснение:
............................
Приложения:
Похожие вопросы
Предмет: Русский язык,
автор: 301083
Предмет: Алгебра,
автор: SASAKOT
Предмет: Русский язык,
автор: vusuazad85
Предмет: Математика,
автор: ульяна554