Предмет: Геометрия,
автор: aidatalgatqizi
Пж дайте ответ.Сроооооочно нужна
Приложения:
Ответы
Автор ответа:
1
Объяснение:
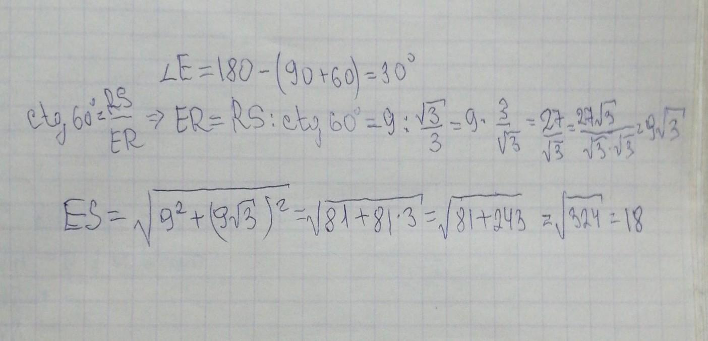
Ответ на фото
____________
Приложения:
Похожие вопросы
Предмет: Математика,
автор: volodyanavodchikov
Предмет: Математика,
автор: vikachernikova
Предмет: Биология,
автор: nikzubkov2001
Предмет: Математика,
автор: 11Misha201