Предмет: Математика,
автор: sanya087
математика 6 класс срочно нужно(20 баллов)
Приложения:
Ответы
Автор ответа:
0
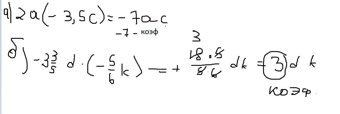
Ответ:
-7ac и 3dk
Пошаговое объяснение:
Приложения:
Похожие вопросы
Предмет: Математика,
автор: Вольфр
Предмет: Математика,
автор: lololoshka45
Предмет: Литература,
автор: бродяга19
Предмет: Физика,
автор: samiromarov79