Предмет: Математика,
автор: anzheladusheeva96
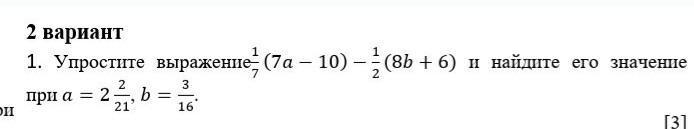
Помогите пожалуйста дам 30 баллов
Приложения:
Ответы
Автор ответа:
1
Ответ:
1/7×7×2 ,2/21-10-1/2×8×3/16+6
anzheladusheeva96:
Это правильно?
Если да то дам лучший ответ
Автор ответа:
2
Ответ:7а-10=17
8b+6=14
17/14*21/2=56
Пошаговое объяснение:56
это правильно?
Да
Спасибо
Похожие вопросы
Предмет: Русский язык,
автор: VikaLPS
Предмет: Русский язык,
автор: mgordeewa2012
Предмет: Математика,
автор: AngelinaGelevora0905
Предмет: Математика,
автор: анжеличка2007
Предмет: Геометрия,
автор: никита3576