Предмет: Алгебра,
автор: gzolotuhin12
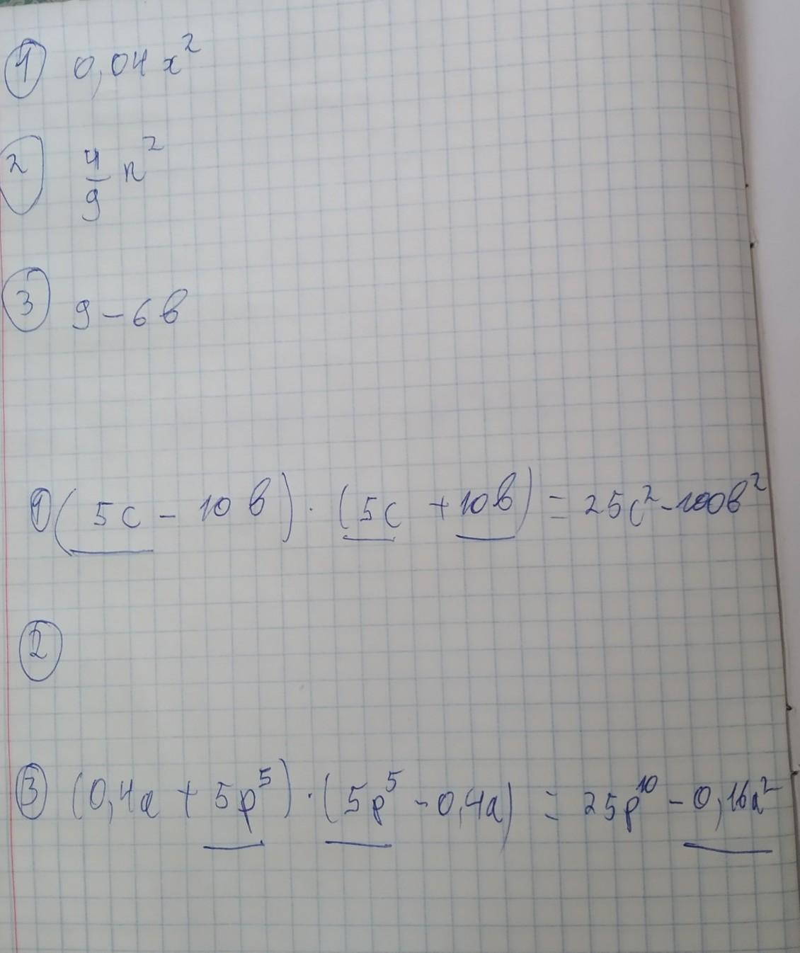
Алгебра, 7 класс, помогите пожалуйста, дам 15 баллов
Приложения:
Ответы
Автор ответа:
1
Объяснение:
второй на второй картинке не смог
Приложения:
Похожие вопросы
Предмет: Английский язык,
автор: kirilovaketrin
Предмет: Русский язык,
автор: Sandermen
Предмет: Математика,
автор: dashamizeva
Предмет: Литература,
автор: tosik31ua71owwc4p
Предмет: Математика,
автор: dan362