Предмет: Математика, автор: mkkostya

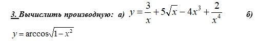
Вычислить производную

Приложения:

Ответы

Автор ответа: Miroslava227
3

а)

y' =  - 3 {x}^{ - 2}  + 5 \times \frac{1}{2}   {x}^{ -  \frac{1}{2} } - 12 {x}^{2}   + 2 \times ( - 4) {x}^{ - 5}  =  \\  =  -  \frac{3}{ {x}^{2} }  +  \frac{5}{2 \sqrt{x} }  - 12 {x}^{2}  -  \frac{8}{ {x}^{5} }

б)

y '=  -  \frac{1}{1 -  {( \sqrt{1 -  {x}^{2} }) }^{2} }  \times  \frac{1}{2}  {(1 -  {x}^{2} )}^{ -  \frac{1}{2} }  \times ( - 2x) =  \\  =  \frac{2x}{(1 - 1 +  {x}^{2} ) \sqrt{1 -  {x}^{2} } }  =  -  \frac{2x}{ {x}^{2} \sqrt{1 -  {x}^{2} }  }  =  \\  =  -  \frac{2}{x \sqrt{1 -  {x}^{2} } }


mkkostya: ЛУЧШИЙ!!!
Похожие вопросы
Предмет: Алгебра, автор: Brovarnaja