Предмет: Алгебра,
автор: Monfa30
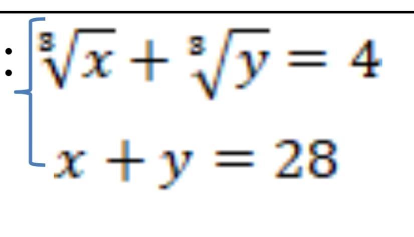
Решите систему уравнений
Кубический корень x + кубический корень y =4
x+y=28
Приложения:
rungvladimir:
https://cf.ppt-online.org/files1/slide/n/nzNYiRluGrA2WtksXhqT1vV5EjIQBScJo9CwfdpFbZ/slide-12.jpg
Ответы
Автор ответа:
2
Ответ:
Там все подробно
Объяснение:
Приложения:
Блин, я уже сдала работу, но спасибо большое, надеюсь другим это поможет! Здоровья Вам!
Похожие вопросы
Предмет: Математика,
автор: DanySigle
Предмет: Русский язык,
автор: lenababenko71
Предмет: Обществознание,
автор: 7568197
Предмет: Математика,
автор: 1TheTimaDit1
Предмет: Математика,
автор: RaiderUp