Предмет: Математика,
автор: shellfire040509
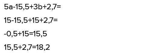
3. Упростите выражение 3(a – 7,1) + 6(b+0,9) и найдите его значение при a=3, b=5. срочно помогите даю 15 баллов
Ответы
Автор ответа:
1
Ответ:
вот ответ...............
Приложения:
shellfire040509:
спасибо
Похожие вопросы
Предмет: Математика,
автор: MrJokeR121
Предмет: Алгебра,
автор: Аноним
Предмет: Математика,
автор: Sabrina200425
Предмет: Обществознание,
автор: рокета228