Предмет: Математика,
автор: Аноним
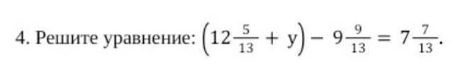
помогите пожалуйста
Приложения:
Ответы
Автор ответа:
0
Ответ:
y=4 * 11/13
Пошаговое объяснение:
Приложения:
Похожие вопросы
Предмет: Алгебра,
автор: ALIYASHAIHIEVA
Предмет: Математика,
автор: rfhksx2008
Предмет: Українська мова,
автор: eminovaalla
Предмет: Математика,
автор: Велла1
Предмет: Алгебра,
автор: Bekky14