Предмет: Алгебра,
автор: Sonya200555
50 БАЛЛОВ!!!!ОЧЕНЬ СРОЧНО! кто будет писать всякую фигню- сразу бан!!!!
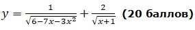
Найдите область определения функции:
Приложения:
Ответы
Автор ответа:
1
Ответ:
D(y) = x є (-1;)
Объяснение:
Смотрите фотографию.
Приложения:
Sonya200555:
спасибо большое!)
Похожие вопросы
Предмет: Литература,
автор: jeni2
Предмет: Математика,
автор: veronika200490
Предмет: Биология,
автор: Аноним
Предмет: Геометрия,
автор: LEONIDF1LATOW
Предмет: Математика,
автор: Петушила