Предмет: Алгебра,
автор: Аноним
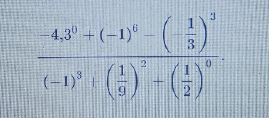
срочно!!! даю 30 баллов
Приложения:
Ответы
Автор ответа:
0
Ответ:
Вот ответ
Объяснение:на фото
Почему не правильный но он всегда правильный будет
Приложения:
Автор ответа:
0
Ответ:
ответ будет 3
Объяснение:
любое число у которого там 0 будет равен 1
значит -4,3'0=1
-1'6=1 так как у 1 всегда будет 1
короче там типа вычесляешь и т.д.Я просто по русскому не силен поэтому не ммогу обьяснить.Надеюсь понял
Приложения:
Похожие вопросы
Предмет: Другие предметы,
автор: Аноним
Предмет: Информатика,
автор: masha120598
Предмет: Математика,
автор: nekitprost965
Предмет: Математика,
автор: UryashovKirya
Предмет: Биология,
автор: Красавчик777000